Download

ORIGINAL ARTICLE

Vitamin D Levels Are Associated with Liver Disease Severity in Patients with Cirrhosis

Megan A. Rech1,2,3, Natasha Von Roenn4, Ramon Durazo-Arvizu5, Scott J. Cotler3,4, Holly Kramer3,5,6

1Department of Emergency Medicine, Loyola University Chicago, Maywood, IL, USA; 2Department of Pharmacy, Loyola University Chicago, Maywood, IL, USA; 3Department of Medicine, Loyola University Chicago, Maywood, IL, USA; 4Division of Hepatology, Loyola University Chicago, Maywood, IL, USA; 5Department of Public Health Sciences, Loyola University Chicago, Maywood, IL, USA; 6Division of Nephrology and Hypertension, Loyola University Chicago, Maywood, IL, USA

Abstract

Vitamin D deficiency is common in advanced liver disease but its clinical significance remains controversial. The aim of this study was to examine the correlation of 25-hydryoxyvitamin D levels with liver disease severity and calcium levels in adults with cirrhosis. This cross-sectional study included 180 adults with cirrhosis enrolled in a clinical cohort study at a single university hospital. The mean age was 58.8 (±9.2) years, and cirrhosis was attributed to alcohol use in 27.2%, hepatitis C in 35.0%, non-alcoholic steatohepatitis in 27.2%, and both alcohol and hepatitis C in 10.6%. The median model for end-stage liver disease-sodium (MELD-Na) score was 12.0 (interquartile range 9.0–16.0), and mean serum albumin levels were 3.4 (±0.7) gm/dl. Median serum 25-hydroxyvitamin D levels were 28.0 (interquartile range 20–38) ng/mL, with 16 patients (8.9%) having levels <12 ng/ml and 43 (23.9%) with 25(OH)D levels <20 ng/ml. No correlation was noted between levels of 25-hydroxyvitamin D and albumin-corrected calcium in the total group and in groups stratified by vitamin D supplementation. In contrast, both serum albumin (r = 0.32; P < 0.001) and MELD-Na scores were significantly correlated with 25-hydroxyvitamin D levels (r = –0.29; P < 0.001). Correlations between 25-hydroxyvitamin D levels and serum albumin (r = −0.39; P < 0.001) and MELD-Na scores did not change substantially after excluding 67 patients receiving vitamin D supplementation (r = −0.33; P = 0.009). In conclusion, total 25-hydroxyvitamin D levels correlate inversely with liver disease severity in adults with cirrhosis.

Keywords: cirrhosis; liver disease; serum calcium; vitamin D; vitamin D deficiency

Received: 07 April 2017; Accepted after revision: 03 May 2017; Published: 26 May 2017.

Author for correspondence: Megan A. Rech, Emergency Medicine Clinical Pharmacist, Loyola University Medical Center, 2160 S 1st Ave, Maywood, IL 60153, USA. Email: Mrech@lumc.edu

How to cite: Rech MA et al. Vitamin D Levels Are Associated with Liver Disease Severity in Patients with Cirrhosis. J Ren Hepat Disord 2017;1(2):1–9.

DOI: http://dx.doi.org/10.15586/jrenhep.2017.15

Copyright: Rech MA et al.

License: This open access article is licensed under Creative Commons Attribution 4.0 International (CC BY 4.0). http://creativecommons.org/licenses/by/4.0

 

Introduction

Vitamin D impacts bone mineralization and calcium homeostasis by increasing intestinal calcium absorption (1, 2). Without vitamin D, only 10% to 15% of dietary calcium and less than 60% of dietary phosphate is absorbed (3). The liver plays an important role in vitamin D metabolism. Vitamins D2 and D3 derived from food and supplements, and vitamin D3 obtained via sunlight exposure, undergo hydroxylation in the liver forming 25-hydroxyvitamin D [25(OH)D], which is then hydroxylated mainly in the kidneys to 1,25 dihydroxyvitamin D [1,25(OH)2D], the biologically active form of vitamin D. The liver also produces bile acids, which are necessary for optimal gastrointestinal absorption of vitamin D obtained from foods or supplements (4). Vitamin D metabolites undergo enterohepatic circulation, and in the setting of liver dysfunction, impaired excretion of vitamin D metabolites may inhibit production or activation of 25(OH)D (5).

Several previous studies showed a high prevalence of low 25(OH)D levels among adults with cirrhosis (69), and low 25(OH)D levels have been hypothesized to play a role in the progression of several liver diseases (1014). However, it is possible that low 25(OH)D levels simply reflect liver disease severity because hepatocytes produce vitamin D binding globulin (VDBG), the major vehicle for vitamin D transport. Over 90% of 25(OH)D circulates bound to VDBG and albumin, while the rest circulates unbound or free (15). Total 25(OH)D levels measured in clinical practice mainly reflect 25(OH)D bound to VDBG and albumin (16). Thus, 25(OH)D levels as currently measured in clinical practice may be low in patients with hepatic synthetic dysfunction due to low serum levels of VDBG and albumin (9, 17).

In the current study, we evaluated data from a cohort of adults with cirrhosis receiving care at a single academic institution. The aim of the study was to evaluate the association of 25(OH)D levels with liver disease severity measures and albumin-corrected serum calcium levels in patients with cirrhosis. Liver disease severity was assessed with serum albumin levels (18) and the modeling end-stage liver disease-sodium score (MELD-Na) (19). The original MELD score predicted prognosis in patients with cirrhosis based on kidney function and dialysis requirements, serum bilirubin, and the international normalized ratio (INR). In recognition of the independent association between serum sodium and transplant waitlist mortality for patients with cirrhosis (1923), the Organ Procurement and Transplantation Network began incorporating the MELD-Na score for prioritizing transplants based on liver disease severity in 2016 (24). This study also examined the proportion of 25(OH)D variance attributed to the MELD-Na score, serum albumin levels, and demographic variables and the use of vitamin D supplements. We hypothesized that 25(OH)D levels are inversely correlated with measures of liver disease severity but not albumin-corrected calcium levels in patients with advanced liver disease. We further hypothesized that liver disease severity accounts for a substantial proportion of the variance in 25(OH)D levels in adults with cirrhosis.

Methods

Study population

This cross-sectional study included patients with cirrhosis receiving hepatology care at Loyola University Medical Center, a large, urban academic medical institution. Patients with cirrhosis were enrolled in a cohort study designed to examine the determinants of liver disease progression during a routine clinic visit from August 29, 2013 to January 28, 2015 and clinical, biochemical, and radiological tests were performed. The study was approved by the Loyola University Chicago Institutional Review Board, and all patients provided written informed consent. Diagnosis of cirrhosis was based on clinical and radiological examination or liver histology. Overall, a total of 456 adults with cirrhosis enrolled in the main cohort study. We excluded 68 participants with cirrhosis from hepatitis B infection, hemochromatosis, Wilson’s disease, or autoimmune hepatitis, due to the low number of participants with each of these disorders. Among the 388 patient participants with alcohol (ETOH)-related, hepatitis C virus (HCV), or non-alcohol steatohepatitis (NASH)-related cirrhosis, we excluded 184 with missing data on 25(OH)D levels and 24 with missing serum calcium and albumin levels measured at the time when vitamin D was measured. This left a total of 180 patient participants included in the analyses.

Disease etiology, demographics

Information on demographics was obtained using standardized questionnaires, while the primary etiology of liver disease and presence of co-morbidities were obtained from the electronic medical record. Diabetes was defined as a physician diagnosis of diabetes and/or use of glucose-lowering medications. At the clinic visit, weight was measured without shoes to the nearest 0.1 kg using a standard balance, and height was measured using a stadiometer without shoes. Body mass index (BMI) was defined as weight in kilograms divided by the height in meters squared. Information on medication use and vitamin D supplementation, including ergocalciferol or cholecalciferol, and calcium supplementation was obtained from the medication list in the electronic medical record at the time of enrollment.

Laboratory parameters

Non-fasting blood specimens were collected during a clinic visit and were sent immediately to the Loyola laboratory for measurement of routine clinical measurements. Serum 25(OH)D was measured using the chemiluminescent immunoassay. Serum albumin, creatinine, and total bilirubin were measured using a colorimetric method, and calcium was measured using indirect ion selective electrodes. Blood reference range values were as follows: serum calcium (8.5–10.5 mg/dl), serum 25(OH)D (20–80 ng/ml), and serum albumin (3.6–5.0 g/dl). The following equation was used to calculate corrected calcium levels: corrected Ca (mg/dl) = measured total calcium in mg/dl + [0.8 × (4 – albumin in g/dl)]. Serum sodium was measured using an ion-specific electrode. The MELD-Na score was calculated as a measure of liver disease severity using the serum creatinine, total bilirubin, INR, and serum sodium measured during the clinic visit when 25(OH)D was also measured (19).

Statistical analyses

We used STATA/IC 13.1 (StataCorp LP, College Station, TX, USA) to perform all statistical analyses. Normality for variables was examined using the Shapiro–Wilk test. Patients were categorized based on their 25(OH)D levels (25), and then summary statistics for key baseline characteristics were compared by vitamin D categories. Mean and median values are shown for variables with and without normal distributions, respectively, and frequencies were reported for categorical variables. Continuous variables were compared using ANOVA, and categorical variables were compared using the Fishers exact test. To compare variables without a normal distribution across groups, the variable was log transformed and then compared using ANOVA. If the overall F-test was statistically significant, then each vitamin D category was compared to the lowest category using an unpaired t-test. The level of statistical significance was set as P < 0.01 to account for multiple comparisons (3 vitamin D categories compared to the lowest category).

Scatterplots of serum levels of corrected calcium, albumin, and MELD-Na scores by 25(OH)D levels were examined. Spearman rank correlation coefficients were calculated to quantify the correlation between corrected calcium and albumin levels and MELD-Na scores in the total group and after stratifying by vitamin D and calcium supplementation. Locally weighted regression smooth scatterplot (LOESS) lines were fitted to characterize the association between 25(OH)D and liver disease severity measures (MELD-Na and serum albumin levels) and serum calcium levels, and all associations were found to be linear. Linear regression models were then used to examine the adjusted association of serum albumin and MELD-Na scores with total 25(OH)D levels. The models adjusted for age, sex, race (white vs. non-white), BMI, liver disease etiology (ETOH vs. other causes), and vitamin D supplementation use (yes/no). These covariates were selected because they may influence vitamin D levels (2, 6). Due to the strong correlation between MELD-Na scores and serum albumin levels (r = −0.58; P < 0.001), separate models were created to examine MELD-Na and serum albumin levels as explanatory variables.

Results

Demographic data for the selected cohort are displayed in Table 1. Most of the patient participants were white (76.7%), and male (53.3%) and the mean age was 58.8 ± 9.2 years. Cirrhosis etiology was ETOH in 27.2%, HCV in 35.0%, NASH in 27.2%, and both ETOH and HCV in 10.6%. The median MELD-Na score was 12.0 (interquartile range 9.0–16.0) and mean serum albumin level was 3.4 ± 0.7 gm/dl. Overall, 37.2% and 22.8% were taking vitamin D and calcium supplements, respectively, and 26.0% were taking both. The dose of vitamin D and type of vitamin D varied. A total of 18 patients were taking ergocalciferol 50,000 international units (IU) weekly, and 28 patients were taking cholecalciferol with doses ranging from 400 to 2000 IU daily. Twenty-one patients were taking over the counter vitamin D3 supplements with doses ranging from 400 to 1200 IU daily. Among the patients taking calcium supplements, the median supplemental calcium intake was 1000 IU (interquartile range 615–1200 IU).

Table 1. Demographics of the patient participants (N = 180)
Age (years) 58.8 ± 9.2
Male (%) 53.3
Race (%)
 White
 African American
 Asian
 Pacific Islander
 Unknown

76.7
8.3
1.1
0.5
13.3
Cirrhosis etiology (%)
 Alcohol
 HCV
 NASH
 Both alcohol and HCV

27.2
35.0
27.2
10.6
BMI (kg/m2) 31.8 ± 7.6
Calcium (mg/dl) 9.1 ± 0.6
Corrected calciuma (mg/dl) 9.5 ± 0.5
Albumin (g/dl) 3.4 ± 0.7
International normalized ratio 1.3 ± 0.3
Creatinine (mg/dl) 1.1 ± 0.8
Sodium (mEq/l) 137.7 ± 3.5
Total bilirubinb (mg/dl) 1.2 (0.7–2.1)
MELD-Na scoreb 12.0 (9.0–16.0)
Vitamin Db (ng/ml) 28.0 (20.0–38.0)
Vitamin D supplementation (%) 37.2
Calcium supplementation (%) 22.8
Data shown as frequency (%) or mean ± standard deviation; aCorrected calcium = measured total calcium in mg/dL + [0.8 × (4 – albumin in g/dl)]; bData shown as median (interquartile range); BMI = body mass index, HCV = hepatitis C virus, NASH = non-alcohol steatohepatitis, MELD-Na = modeling end-stage liver disease-sodium score (19).

The median serum 25(OH)D level was 28.0 ng/ml (interquartile range 20–38 ng/ml), and 16 patients (8.9%) had 25(OH)D levels <12 ng/ml and 43 (23.9%) had 25(OH)D levels <20 ng/ml. Table 2 shows the characteristics of the participants by 25(OH)D groups. Overall, serum calcium and albumin levels generally increased and MELD-Na scores decreased across increasing 25(OH)D groups. In contrast, corrected serum calcium levels did not differ significantly across 25(OH)D groups. Vitamin D supplementation was similar across the 25(OH)D groups.

Table 2. Characteristics of patient participants by serum 25-hydroxyvitamin D [25(OH)D] groups
25(OH)D Groups Overall P-value
<12 ng/ml 12–19.9 ng/ml 20–29.9 ng/ml ≥30 ng/ml
N 16 27 58 79
Age 55.6 ± 10.2 56.8 ± 9.1 58.7 ± 8.6 60.2 ± 9.3 0.2
Male (%) 53.6 66.7 52.7 58.5 0.4
BMI (kg/m2) 30.4±6.5 32.3±8.5 32.2 ± 6.6 31.6 ± 8.2 0.9
25(OH)D (ng/ml)a 10.0 (7.0–11.0) 17.0 (15.0–19.0)* 25.0 (22.0–27.0)* 39 (32.3–47.0)* <0.001
MELD-Naa 20.0 (17.0–28.0) 14.0 (9.5–16.5)* 12.0 (9.0–15.0)* 10.5 (8.0–15.0)* <0.001
Calcium (mg/dl) 8.5±0.5 9.0±0.4 9.0 ± 0.6 9.2 ± 0.6 0.003
Corrected calciumb (mg/dl) 9.4±0.1 9.6±0.1* 9.5 ± 0.1* 9.6 ± 0.1* 0.7
Albumin (g/dl) 2.86±0.2 3.20±0.1* 3.29 ± 0.1* 3.60 ± 0.1* <0.001
International normalized ratio 1.6±0.6 1.3±0.3* 1.2 ± 0.3)* 1.2 ± 0.2* <0.001
Total bilirubin (mg/dl) 2.4 (1.0–3.6) 1.7 (1.0–2.9)* 1.2 (0.7–2.1)* 1.0 (0.7–2.1)* <0.001
Sodium (mEq/L) 133.9±5.4 137.8±3.9* 138.1 ± 3.0* 138.2 ± 2.6* <0.001
Cirrhosis etiology (%)
 HCV
 ETOH
 ETOH and HCV
 NASH

18.8
43.8
18.8
18.8

25.9
37.0
11.2
25.9

42.6
24.6
3.3
29.5

34.6
22.2*
13.6
29.6

0.6
0.05
0.2
0.2
Vitamin D supplementation (%) 31.3 25.9 34.5 44.3 0.3
Calcium supplementation (%) 25.0 14.8 20.7 26.6 0.6
Data shown as frequency (%) or mean ± standard deviation; aData shown as median (interquartile range); BMI = body mass index, HCV = hepatitis C virus, MELD-Na = modeling end-stage liver disease score (19), NASH = non-alcohol steatohepatitis; bCorrected calcium = measured total calcium in mg/dL + [0.8 × (4 – albumin in g/dl)]; *P < 0.01 compared to group with 25(OH)D <12 ng/ml.

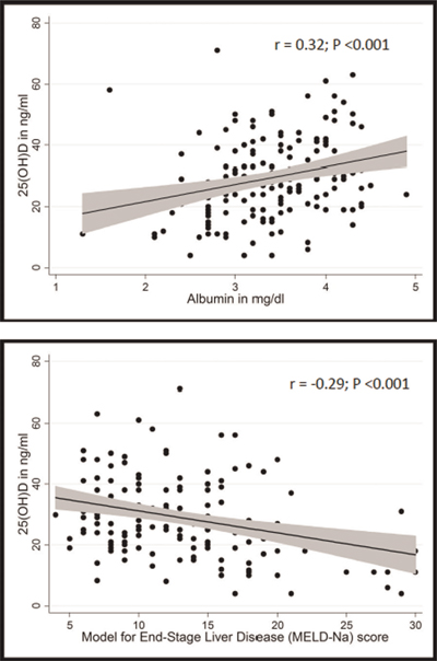
No correlation was noted between albumin-corrected calcium and 25(OH)D levels in the total group (Figure 1) or in groups stratified by vitamin D and calcium supplementation use (Figure 2). In contrast, both serum albumin (r = 0.32; P < 0.001) and MELD-Na scores (r = –0.29; P < 0.001) were significantly correlated with 25(OH)D levels (Figure 3). After excluding 67 patients receiving vitamin D supplementation, correlations between 25(OH)D and serum albumin (r = 0.39; P < 0.001) and MELD-Na scores (r = −0.33; P = 0.009) did not change substantially. The results of the linear regression models are shown in Table 3. Serum albumin and MELD-Na scores alone accounted for 9% and 17% of the variance in log-transformed 25(OH)D levels, respectively. Serum albumin levels combined with all covariates and MELD-Na scores combined with all covariates accounted for 12.6% and 23.1% of the variance of log-transformed 25(OH)D levels, respectively. In the linear regression models, only serum albumin and MELD-Na scores were significantly associated with log-transformed 25(OH)D levels.



Fig 1

Figure 1. Scatterplot of corrected serum calcium levels by 25-hydroxyvitamin D [25(OH)D] levels in the total group of patient participants with cirrhosis (n = 180).



Fig 2

Figure 2. Scatterplot of relationship of serum 25-hydroxyvitamin D [25(OH)D]and serum-corrected calcium in patients receiving both vitamin D and calcium supplementation (n = 37) (top) and in patients not receiving vitamin D or calcium supplementation (n = 109) (bottom).



Fig 3

Figure 3. Scatterplots of 25-hydroxyvitamin D [25(OH)D] levels by serum albumin levels (top) and by MELD-Na scores (bottom) in patients with cirrhosis (n = 180).

Table 3. Results of linear regression models with log transformed 25(OH)D levels as dependent variable
Model with MELD-Na +R2
0.23
Model with Albumin +R2
0.13
Beta (SE) P-value Beta (SE) P-value
Albumin 0.23 (0.23) <0.001
MELD −0.04 (0.01) <0.001
Age 0.01 (0.004) 0.07 0.01 (0.005) 0.8
Sex −0.04 (0.08) 0.7 −0.05 (0.08) 0.5
White race vs. non-white race 0.13 (0.10) 0.2 0.07 (0.09) 0.4
BMI (kg/m2) −0.01 (0.01) 0.2 0.0001 (0.006) 0.9
Liver disease due to alcohol vs. other 0.02 (0.1) 0.8 −0.03 (0.09) 0.8
Vitamin D supplementation 0.14 (0.08) 0.1 0.10 (0.08) 0.2
MELD-Na = modeling end-stage liver disease score(19); SE = standard error; R2 indicates the amount of variance in log transformed 25(OH)D levels explained by the model; beta represents the change in log transformed 25(OH)D levels with every unit increase in the predictor variable after adjustment for all variables in the linear regression model.

Discussion

In this single center study, we show that low vitamin D levels are common in patients with cirrhosis, as demonstrated in previous studies (6, 7, 9, 2628). However, the prevalence of low vitamin levels, defined as 25(OH)D levels <20 ng/ml, was less than many previous studies (7, 2628), which may be due to higher use of vitamin D supplementation and lower disease severity in our patient population. One study of 202 pre-liver transplant patients reported that 25(OH)D levels were less than 20 ng/ml among 84% of patients prior to liver transplantation, with 13% having undetectable concentrations (9). Our study also confirms the findings of several previous studies that demonstrated an inverse correlation between 25(OH)D levels and measures of liver disease severity (6, 9, 26, 2931), such as the Child Pugh score and MELD score, and a positive correlation with serum albumin concentrations. Another important finding of the present study was that low 25(OH)D levels were not associated with serum calcium levels in patients with cirrhosis. In fact, no patient had an albumin-corrected serum calcium value <8.5 mg/dl.

While the relationship between cirrhosis and vitamin D deficiency is well-described (6, 28), it remains uncertain how vitamin D deficiency impacts calcium homeostasis in patients with cirrhosis. One study of 158 pre-transplant patients with end-stage liver disease examined the serum levels of calcium and intact parathyroid hormone levels (iPTH) across the spectrum of 25(OH)D levels. This study found no differences in mean serum iPTH and corrected calcium levels among these patients (32). The lack of a correlation between calcium, iPTH, and total 25(OH)D levels may be due to the fact that total 25(OH)D includes a large fraction of 25(OH)D that is tightly bound to VDBG, and relatively small amounts of 25(OH)D bound loosely to albumin and 25(OH)D circulating freely or unbound. It has been hypothesized that the 25(OH)D circulating tightly bound to VDBG is not as clinically important as the vitamin D circulating free or loosely bound to albumin, known as bioavailable vitamin D (16, 33). The existence of compensatory mechanisms for vitamin D homeostasis in advanced liver disease was suggested by findings from a small study, which showed significantly lower total 25(OH)D levels among 24 patients with cirrhosis compared to 107 healthy controls while measured free 25(OH)D levels were higher among the adults with cirrhosis (33). A study of liver transplant recipients, most of who were vitamin D deficient pre-transplant, found that total and free 25(OH)D along with VDBG increased after transplantation (9). While vitamin D has been hypothesized to modulate inflammation and fibrosis in liver disease (26, 34), it is not clear whether lower vitamin D levels in patients with cirrhosis are a cause or an effect of liver disease progression. The possibility that low vitamin D levels contribute to liver disease progression is intriguing, although the available data have not established a clear causal association. It is also possible that low total vitamin D levels simply reflect the severity of liver disease. As liver disease worsens, hepatic production of VDBG decreases and total measured 25(OH)D levels are consequently lower. Indeed, our study showed a significant and inverse correlation between 25(OH)D levels and MELD-Na scores. These findings are supported by previous studies, which also showed significant and inverse correlations between 25(OH)D levels and liver disease measures (26, 28).

This study includes a large number of adults with cirrhosis, and the 25(OH)D and serum calcium levels were evaluated as part of a routine clinical examination. The study is limited by lack of information on levels of 1,25-dihydroxyvitamin D levels, the active form of vitamin D, and VDBG. We also did not have information on other markers of vitamin D homeostasis such as iPTH levels. Serum calcium levels may be affected by several factors other than vitamin D, including serum iPTH levels and dietary calcium intake. While we did have information on calcium supplement use, information on dietary calcium intake was not collected. In addition, we did not have measures of patient compliance with the vitamin D and calcium supplements.

Conclusion

This study shows that total 25(OH)D levels correlate inversely with liver disease severity in adults with cirrhosis, while no correlation exists between 25(OH)D levels and albumin-corrected serum calcium levels. The findings from this study along with other previous studies support the existence of compensatory mechanisms for maintaining calcium homeostasis in patients with advanced liver diseases. Future studies should examine changes in measures of vitamin D and vitamin D homeostasis with vitamin D supplementation in patients with cirrhosis. Such information may help elucidate whether vitamin D supplementation interferes with existing compensatory mechanisms for maintaining vitamin D homeostasis in the setting of advanced liver disease.

Acknowledgements

The authors thank the patients who participate in the Loyola cirrhosis cohort study.

Conflicts of interest

The authors report no conflicts of interest with respect to research, authorship, and/or publication of this article.

References

  1. Holick MF, Binkley NC, Bischoff-Ferrari HA, Gordon CM, Hanley DA, Heaney RP, et al. Evaluation, treatment, and prevention of vitamin D deficiency: An Endocrine Society clinical practice guideline. J Clin Endocrinol Metabol. 2011 Jul;96(7):1911–30. http://dx.doi.org/10.1210/jc.2011-0385.
  2. Holick MF. Vitamin D deficiency. N Engl J Med. 2007 Jul 19;357(3):266–81. http://dx.doi.org/10.1056/NEJMra070553.
  3. DeLuca HF. Overview of general physiologic features and functions of vitamin D. Am J Clin Nutr. 2004 Dec;80(6 Suppl):1689S–96S.
  4. Hollander D, Muralidhara KS, Zimmerman A. Vitamin D-3 intestinal absorption in vivo: Influence of fatty acids, bile salts, and perfusate pH on absorption. Gut. 1978 Apr;19(4):267–72. http://dx.doi.org/10.1136/gut.19.4.267.
  5. Bikle DD. Vitamin D insufficiency/deficiency in gastrointestinal disorders. J Bone Miner Res. 2007 Dec;22 Suppl 2:V50–4. http://dx.doi.org/10.1359/jbmr.07s208.
  6. Stokes CS, Volmer DA, Grunhage F, Lammert F. Vitamin D in chronic liver disease. Liver Int. 2013 Mar;33(3):338–52. http://dx.doi.org/10.1111/liv.12106.
  7. Arteh J, Narra S, Nair S. Prevalence of vitamin D deficiency in chronic liver disease. Dig Dis Sci. 2010 Sep;55(9):2624–8. http://dx.doi.org/10.1007/s10620-009-1069-9.
  8. Fisher L, Fisher A. Vitamin D and parathyroid hormone in outpatients with noncholestatic chronic liver disease. Clin Gastroenterol Hepatol. 2007 Apr;5(4):513–20. http://dx.doi.org/10.1016/j.cgh.2006.10.015.
  9. Reese PP, Bloom RD, Feldman HI, Huverserian A, Thomasson A, Shults J, et al. Changes in vitamin D binding protein and vitamin D concentrations associated with liver transplantation. Liver Int. 2012 Feb;32(2):287–96. http://dx.doi.org/10.1111/j.1478-3231.2011.02638.x.
  10. Targher G, Byrne CD. Lower 25-hydroxyvitamin D3 levels and increased risk of liver diseases: Is there a causal link? Endocrine. 2014 Sep;47(1):3–4. http://dx.doi.org/10.1007/s12020-014-0220-3.
  11. Targher G, Bertolini L, Scala L, Cigolini M, Zenari L, Falezza G, et al. Associations between serum 25-hydroxyvitamin D3 concentrations and liver histology in patients with non-alcoholic fatty liver disease. Nutr Metab Cardiovasc Dis. 2007 Sep;17(7):517–24. http://dx.doi.org/10.1016/j.numecd.2006.04.002.
  12. Baur K, Mertens JC, Schmitt J, Iwata R, Stieger B, Eloranta JJ, et al. Combined effect of 25-OH vitamin D plasma levels and genetic vitamin D receptor (NR 1I1) variants on fibrosis progression rate in HCV patients. Liver Int. 2012 Apr;32(4):635–43. http://dx.doi.org/10.1111/j.1478-3231.2011.02674.x.
  13. Kitson MT, Roberts SK. D-livering the message: The importance of vitamin D status in chronic liver disease. J Hepatol. 2012 Oct;57(4):897–909. http://dx.doi.org/10.1016/j.jhep.2012.04.033.
  14. Abramovitch S, Dahan-Bachar L, Sharvit E, Weisman Y, Ben Tov A, Brazowski E, et al. Vitamin D inhibits proliferation and profibrotic marker expression in hepatic stellate cells and decreases thioacetamide-induced liver fibrosis in rats. Gut. 2011 Dec;60(12):1728–37. http://dx.doi.org/10.1136/gut.2010.234666.
  15. Berg JP. Vitamin D-binding protein prevents vitamin D deficiency and presents vitamin D for its renal activation. Eur J Endocrinol. 1999 Oct;141(4):321–2. http://dx.doi.org/10.1530/eje.0.1410321.
  16. Powe CE, Evans MK, Wenger J, Zonderman AB, Berg AH, Nalls M, et al. Vitamin D-binding protein and vitamin D status of black Americans and white Americans. N Engl J Med. 2013 Nov 21;369(21):1991–2000. http://dx.doi.org/10.1056/NEJMoa1306357.
  17. Lai JC, Bikle DD, Lizaola B, Hayssen H, Terrault NA, Schwartz JB. Total 25(OH) vitamin D, free 25(OH) vitamin D and markers of bone turnover in cirrhotics with and without synthetic dysfunction. Liver Int. 2015 Oct;35(10):2294–300. http://dx.doi.org/10.1111/liv.12819.
  18. Ripoll C, Bari K, Garcia-Tsao G. Serum albumin can identify patients with compensated cirrhosis with a good prognosis. J Clin Gastroenterol. 2015 Aug;49(7):613–19. http://dx.doi.org/10.1097/MCG.0000000000000207.
  19. Biggins SW, Kim WR, Terrault NA, Saab S, Balan V, Schiano T, et al. Evidence-based incorporation of serum sodium concentration into MELD. Gastroenterology. 2006 May;130(6):1652–60. http://dx.doi.org/10.1053/j.gastro.2006.02.010.
  20. Ruf AE, Kremers WK, Chavez LL, Descalzi VI, Podesta LG, Villamil FG. Addition of serum sodium into the MELD score predicts waiting list mortality better than MELD alone. Liver Transpl. 2005 Mar;11(3):336–43. http://dx.doi.org/10.1002/lt.20329.
  21. Londono MC, Cardenas A, Guevara M, Quinto L, de Las Heras D, Navasa M, et al. MELD score and serum sodium in the prediction of survival of patients with cirrhosis awaiting liver transplantation. Gut. 2007 Sep;56(9):1283–90. http://dx.doi.org/10.1136/gut.2006.102764.
  22. Marroni CP, de Mello Brandao AB, Hennigen AW, Marroni C, Zanotelli ML, Cantisani G, et al. MELD scores with incorporation of serum sodium and death prediction in cirrhotic patients on the waiting list for liver transplantation: A single center experience in southern Brazil. Clin Transplant. 2012 Jul–Aug;26(4):E395–401. http://dx.doi.org/10.1111/j.1399-0012.2012.01688.x.
  23. Umemura T, Shibata S, Sekiguchi T, Kitabatake H, Nozawa Y, Okuhara S, et al. Serum sodium concentration is associated with increased risk of mortality in patients with compensated liver cirrhosis. Hepatol Res. 2015 Jul;45(7):739–44. http://dx.doi.org/10.1111/hepr.12412.
  24. Elwir S, Lake J. Current status of liver allocation in the United States. Gastroenterol Hepatol (NY). 2016 Mar;12(3):166–70.
  25. Committee to Review Dietary Reference Intakes for Vitamin D and Calcium, Institute of Medicine. Dietary reference intakes for calcium and vitamin D. Washington, DC: National Academies Press; 2011.
  26. Putz-Bankuti C, Pilz S, Stojakovic T, Scharnagl H, Pieber TR, Trauner M, et al. Association of 25-hydroxyvitamin D levels with liver dysfunction and mortality in chronic liver disease. Liver Int. 2012 May;32(5):845–51. http://dx.doi.org/10.1111/j.1478-3231.2011.02735.x.
  27. Monegal A, Navasa M, Guanabens N, Peris P, Pons F, Martinez de Osaba MJ, et al. Osteoporosis and bone mineral metabolism disorders in cirrhotic patients referred for orthotopic liver transplantation. Calcif Tissue Int. 1997 Feb;60(2):148–54. http://dx.doi.org/10.1007/s002239900205.
  28. Malham M, Jorgensen SP, Ott P, Agnholt J, Vilstrup H, Borre M, et al. Vitamin D deficiency in cirrhosis relates to liver dysfunction rather than aetiology. World J Gastroenterol. 2011 Feb 21;17(7):922–5. http://dx.doi.org/10.3748/wjg.v17.i7.922.
  29. Ho AS, Cheng CC, Lee SC, Liu ML, Lee JY, Wang WM, et al. Novel biomarkers predict liver fibrosis in hepatitis C patients: Alpha 2 macroglobulin, vitamin D binding protein and apolipoprotein AI. J Biomed Sci. 2010 Jul 15;17:58. http://dx.doi.org/10.1186/1423-0127-17-58.
  30. Meier U, Gressner O, Lammert F, Gressner AM. Gc-globulIn: Roles in response to injury. Clin Chem. 2006 Jul;52(7):1247–53. http://dx.doi.org/10.1373/clinchem.2005.065680.
  31. Finkelmeier F, Kronenberger B, Zeuzem S, Piiper A, Waidmann O. Low 25-Hydroxyvitamin D levels are associated with infections and mortality in patients with cirrhosis. PLoS One. 2015 Jun 29;10(6):e0132119. http://dx.doi.org/10.1371/journal.pone.0132119.
  32. Corey RL, Whitaker MD, Crowell MD, Keddis MT, Aqel B, Balan V, et al. Vitamin D deficiency, parathyroid hormone levels, and bone disease among patients with end-stage liver disease and normal serum creatinine awaiting liver transplantation. Clin Transplant. 2014 May;28(5):579–84. http://dx.doi.org/10.1111/ctr.12351.
  33. Schwartz JB, Lai J, Lizaola B, Kane L, Markova S, Weyland P, et al. A comparison of measured and calculated free 25(OH) vitamin D levels in clinical populations. J Clin Endocrinol Metab. 2014 May;99(5):1631–7. http://dx.doi.org/10.1210/jc.2013-3874.
  34. Petta S, Camma C, Scazzone C, Tripodo C, Di Marco V, Bono A, et al. Low vitamin D serum level is related to severe fibrosis and low responsiveness to interferon-based therapy in genotype 1 chronic hepatitis C. Hepatology. 2010 Apr;51(4):1158–67. http://dx.doi.org/10.1002/hep.23489.